Pep04396 | Prolactin-Releasing Peptide (12-31) (rat) | 222988-10-5
- 詳細描述
- 資料下載
Pep04396 | Prolactin-Releasing Peptide (12-31) (rat) | 222988-10-5
|
貨號 |
Pep04396 |
|
名稱 |
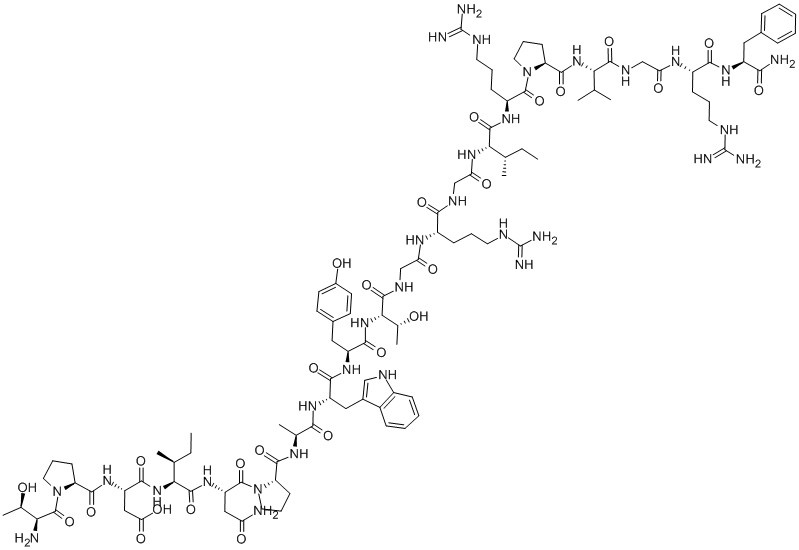
Prolactin-Releasing Peptide (12-31) (rat) |
|
中文其他名稱 |
|
|
英文其他名稱 |
PROLACTIN-RELEASING PEPTIDE (12-31) (RAT);PROLACTIN-RELEASING PEPTIDE (12-31);PREPROLACTIN (34-53) (RAT);PRRP20 (RAT);PRRP20;THR-PRO-ASP-ILE-ASN-PRO-ALA-TRP-TYR-THR-GLY-ARG-GLY-ILE-ARG-PRO-VAL-GLY-ARG-PHE-NH2;TPDINPAWYTGRGIRPVGRF-NH2;H-THR-PRO-ASP-ILE-ASN-PRO-ALA-TRP-TYR-THR-GLY-ARG-GLY-ILE-ARG-PRO-VAL-GLY-ARG-PHE-NH2 |
|
CAS No. |
222988-10-5 |
|
單字母序列 |
TPDINPAWYTGRGIRPVGRF-NH2 |
|
三字母序列 |
Thr-Pro-Asp-Ile-Asn-Pro-Ala-Trp-Tyr-Thr-Gly-Arg-Gly-Ile-Arg-Pro-Val-Gly-Arg-Phe-NH2 | H-Thr-Pro-Asp-Ile-Asn-Pro-Ala-Trp-Tyr-Thr-Gly-Arg-Gly-Ile-Arg-Pro-Val-Gly-Arg-Phe-NH2 |





南京肽業(yè)生物科技有限公司
地址:
Email: info@njpeptide.com
總機:025-58361106-801
