Pep14207 | VIP (guinea pig) | 96886-24-7
- 詳細描述
- 資料下載
Pep14207 | VIP (guinea pig) | 96886-24-7
|
貨號 |
Pep14207 |
|
名稱 |
VIP (guinea pig) |
|
其他名稱 |
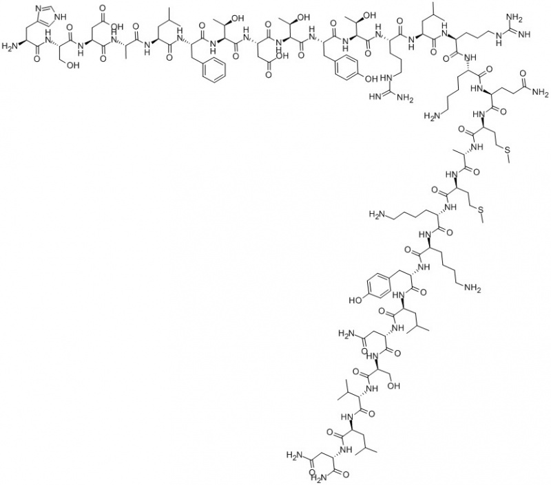
HIS-SER-ASP-ALA-LEU-PHE-THR-ASP-THR-TYR-THR-ARG-LEU-ARG-LYS-GLN-MET-ALA-MET-LYS-LYS-TYR-LEU-ASN-SER-VAL-LEU-ASN-NH2 HIS-SER-ASP-ALA-VAL-PHE-THR-ASP-ASN-TYR-THR-ARG: HSDAVFTDNYTR H-HIS-SER-ASP-ALA-LEU-PHE-THR-ASP-THR-TYR-THR-ARG-LEU-ARG-LYS-GLN-MET-ALA-MET-LYS-LYS-TYR-LEU-ASN-SER-VAL-LEU-ASN-NH2 VASOACTIVE INTESTINAL PEPTIDE (GUINEA PIG) VIP (GUINEA PIG) H-His-Ser-Asp-Ala-Leu-Phe-Thr-Asp-Thr-Tyr-Thr-Arg-Leu-Arg-Lys-Gln-Met-Ala-Met-Lys-Lys-Tyr-Leu-Asn-Ser-Val-Leu-Asn-NH2 M.W. 3344.86 C147H239N43O42S2 L-His-L-Ser-L-Asp-L-Ala-L-Leu-L-Phe-L-Thr-L-Asp-L-Thr-L-Tyr-L-Thr-L-Arg-L-Leu-L-Arg-L-Lys-L-Gln-L-Met-L-Ala-L-Met-L-Lys-L-Lys-L-Tyr-L-Leu-L-Asn-L-Ser-L-Val-L-Leu-L-Asn-NH2 Vasoactive intestinal octacosapeptide 【guinea pig】 |
|
CAS No. |
96886-24-7 |
|
單字母序列 |
HSDALFTDTYTRLRKQMAMKKYLNSVLN-NH2 |
|
三字母序列 |
His-Ser-Asp-Ala-Leu-Phe-Thr-Asp-Thr-Tyr-Thr-Arg-Leu-Arg-Lys-Gln-Met-Ala-Met-Lys-Lys-Tyr-Leu-Asn-Ser-Val-Leu-Asn-NH2 | H-His-Ser-Asp-Ala-Leu-Phe-Thr-Asp-Thr-Tyr-Thr-Arg-Leu-Arg-Lys-Gln-Met-Ala-Met-Lys-Lys-Tyr-Leu-Asn-Ser-Val-Leu-Asn-NH2 |





南京肽業(yè)生物科技有限公司
地址:
Email: info@njpeptide.com
總機:025-58361106-801
