Pep04282 | Orphan GPCR SP9155 Agonist P550 (mouse) | 600171-70-8
- 詳細(xì)描述
- 資料下載
Pep04282 | Orphan GPCR SP9155 Agonist P550 (mouse) | 600171-70-8
|
貨號(hào) |
Pep04282 |
|
名稱(chēng) |
Orphan GPCR SP9155 Agonist P550 (mouse) |
|
中文其他名稱(chēng) |
|
|
英文其他名稱(chēng) |
H-ALA-SER-GLY-PRO-LEU-GLY-THR-LEU-ALA-GLU-GLU-LEU-SER-SER-TYR-SER-ARG-ARG-LYS-GLY-GLY-PHE-SER-PHE-ARG-PHE-NH2;ORPHAN GPCR SP9155 AGONIST P550 (MOUSE);ORPHAN G-PROTEIN COUPLED RECEPTOR SP9155 AGONIST PEPTIDE P550 (MOUSE);P550 (MOUSE);Orphan GPCR SP9155 Agonist P550 (Mouse) Orphan G-Protein Coupled Receptor SP9155 Agonist Peptide P550 (Mouse), P550 (Mouse);H-Ala-Ser-Gly-Pro-Leu-Gly-Thr-Leu-Ala-Glu-Glu-Leu-Ser-Ser-Tyr-Ser-Arg-Arg-Lys-Gly-Gly-Phe-Ser-Phe-Arg-Phe-NH2;Orphan G-Protein Coupled Receptor SP9155 Agonist Peptide P550 (Mouse), P550 (Mouse) |
|
CAS No. |
600171-70-8 |
|
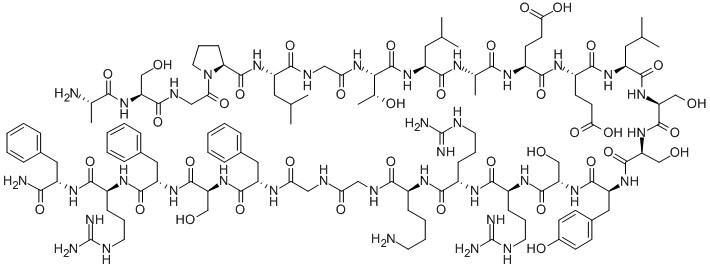
單字母序列 |
ASGPLGTLAEELSSYSRRKGGFSFRF-NH2 |
|
三字母序列 |
Ala-Ser-Gly-Pro-Leu-Gly-Thr-Leu-Ala-Glu-Glu-Leu-Ser-Ser-Tyr-Ser-Arg-Arg-Lys-Gly-Gly-Phe-Ser-Phe-Arg-Phe-NH2 | H-Ala-Ser-Gly-Pro-Leu-Gly-Thr-Leu-Ala-Glu-Glu-Leu-Ser-Ser-Tyr-Ser-Arg-Arg-Lys-Gly-Gly-Phe-Ser-Phe-Arg-Phe-NH2 |





南京肽業(yè)生物科技有限公司
地址:
Email: info@njpeptide.com
總機(jī):025-58361106-801
