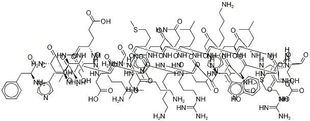
Pep00231 | 醋酸特立帕肽 | 52232-67-4
- 詳細(xì)描述
- 資料下載
Pep00231 | 醋酸特立帕肽 | 52232-67-4
|
中文名稱: |
醋酸特立帕肽 |
|
中文同義詞: |
醋酸特立帕肽;醋酸立特帕肽;特立帕肽;立特帕肽(TERIPARATIDE);甲狀旁腺素(人);ALA-VAL-SER-GLU-ILE-GLN-LEU-MET-HIS-ASN-LEU-GLY-LYS-HIS-LEU-ALA-SER-VAL-GLU-ARG-MET-GLN-TRP-LEU-ARG-LYS-LYS-LEU-GLN-ASP-VAL-HIS-ASN-PHE: AVSEIQLMHNLGKHLASVERMQWLRKKLQDVHNF;SER-VAL-SER-GLU-CYS-GLN-LEU-MET-HIS-ASN-LEU-GLY-LYS-HIS-LEU-ASN-SER-MET-GLU-ARG-VAL-GLU-TRP-LEU-ARG-LYS-LYS-CYS-GLN-ASP-VAL-HIS-ASN-PHE;SER-VAL-SER-GLU-ILE-GLN-LEU-MET-HIS-ASN-LEU-GLY-LYS-HIS-LEU-ASN-SER-MET-GLU-ARG-VAL-GLU-TRP-LEU-ARG-LYS-LYS-LEU-GLN-ASP-VAL-HIS-ASN-PHE |
|
英文名稱: |
Teriparatide acetate |
|
英文同義詞: |
PARATHYROID HORMONE HUMAN: FRAGMENT 1-34;PARATHYROID HORMONE (HUMAN, 1-34);PARATHYROID HORMONE (1-34), HUMAN;PTH (1-34) (HUMAN);PTH (HUMAN, 1-34);TERIPARATIDE;Teriparatide acetate;SVSEIQLMHNLGKHLNSMERVEWLRKKLQDVHNF |
|
CAS號(hào): |
52232-67-4 |
|
分子式: |
C172H278N52O47S2 |
|
分子量: |
3890.49792 |





南京肽業(yè)生物科技有限公司
地址:
Email: info@njpeptide.com
總機(jī):025-58361106-801
