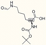
R10797|2483-47-8|Boc-Lys(For)-OH
- 詳細(xì)描述
- 資料下載
R10797|2483-47-8|Boc-Lys(For)-OH
|
中文名稱: |
N-叔丁氧羰基-N'-甲?;?/span>-L-賴氨酸 |
|
中文同義詞: |
N-叔丁氧羰基-N'-甲酰基-L-賴氨酸; NΑ-BOC-NΩ-甲?;?/span>-L-賴氨酸 |
|
英文名稱: |
Boc-Lys(For)-OH |
|
英文同義詞: |
N-ALPHA-BOC-N-EPSILON-FORMYL-L-LYSINE; N-ALPHA-T-BUTOXYCARBONYL-N-EPSILON-FORMYL-L-LYSINE; NALPHA-TERT-BOC-NEPSILON-FORMYL-L-LYSINE; BOC-L-LYS(EPSILON-FORMYL)-OH;BOC-LYS(FOR)-OH; BOC-LYSINE(FOR)-OH;BOC-LYS(CHO)-OH; BOC-N-EPSILON-FORMYL-L-LYSINE |
|
CAS號: |
2483-47-8 |
|
分子式: |
C12H22N2O5 |
|
分子量: |
274.31 |





南京肽業(yè)生物科技有限公司
地址:
Email: info@njpeptide.com
總機(jī):025-58361106-801
