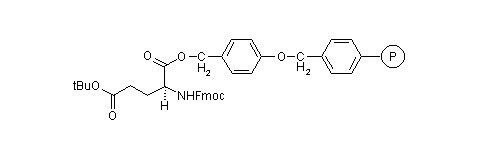
R61071 | Fmoc-Glu(OtBu)-Wang Resin
- 詳細(xì)描述
- 資料下載
R61071 | Fmoc-Glu(OtBu)-Wang Resin
|
Cat No |
R61071 |
|
Product Name |
Fmoc-Glu(OtBu)-Wang Resin
|
|
Cross Linker |
1% DVB |
|
Parity Grade |
0.3~0.8 mmol/g |
|
Particle Size |
100~200 mesh |





南京肽業(yè)生物科技有限公司
地址:
Email: info@njpeptide.com
總機(jī):025-58361106-801
