Pep17690|Pardaxin (ge33)|134940-98-0
- 詳細(xì)描述
- 資料下載
Pep17690|Pardaxin (ge33)|134940-98-0
|
貨號(hào) |
Pep17690 |
|
中文名稱 |
Pardaxin (ge33) |
|
中文其他名稱 |
|
|
英文名稱 |
Pardaxin (ge33) |
|
英文其他名稱 |
PARDAXIN; PARDAXIN MOSES SOLE; PARDAXIN, PARDACHIRUS MARMORATUS; [GLY31]-PARDAXIN P1; [Gly31]-PardaxinP1, Gly-Phe-Phe-Ala-Leu-Ile-Pro-Lys-Ile-Ile-Ser-Ser-Pro-Leu-Phe-Lys-Thr-Leu-Leu-Ser-Ala-Val-Gly-Ser-Ala-Leu-Ser-Ser-Ser-Gly-Gly-Gln-Glu; Gly-Phe-Phe-Ala-Leu-Ile-Pro-Lys-Ile-Ile-Ser-Ser-Pro-Leu-Phe-Lys-Thr-Leu-Leu-Ser-Ala-Val-Gly-Ser-Ala-Leu-Ser-Ser-Ser-Gly-Gly-Gln-Glu |
|
CAS No. |
134940-98-0 |
|
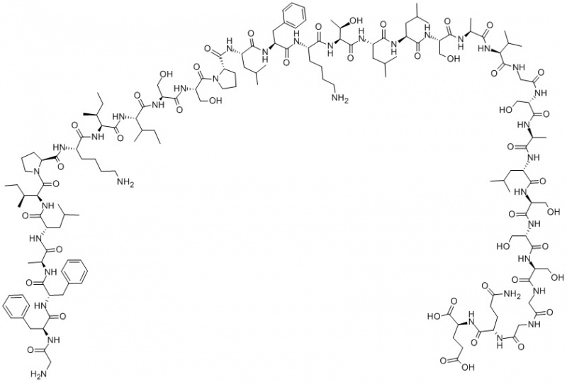
單字母序列 |
GFFALIPKII SSPLFKTLLS AVGSALSSSGGQE |
|
三字母序列 |
Gly-Phe-Phe-Ala-Leu-Ile-Pro-Lys-Ile-Ile-Ser-Ser-Pro-Leu-Phe-Lys-Thr-Leu-Leu-Ser-Ala-Val-Gly-Ser-Ala-Leu-Ser-Ser-Ser-Gly-Gly-Gln-Glu | H-Gly-Phe-Phe-Ala-Leu-Ile-Pro-Lys-Ile-Ile-Ser-Ser-Pro-Leu-Phe-Lys-Thr-Leu-Leu-Ser-Ala-Val-Gly-Ser-Ala-Leu-Ser-Ser-Ser-Gly-Gly-Gln-Glu |





南京肽業(yè)生物科技有限公司
地址:
Email: info@njpeptide.com
總機(jī):025-58361106-801
