Pep04357 | PACAP-38 (16-38) (human, chicken, mouse, ovine, porcine, rat) | 144025-82-1
- 詳細(xì)描述
- 資料下載
Pep04357 | PACAP-38 (16-38) (human, chicken, mouse, ovine, porcine, rat) | 144025-82-1
|
貨號 |
Pep04357 |
|
名稱 |
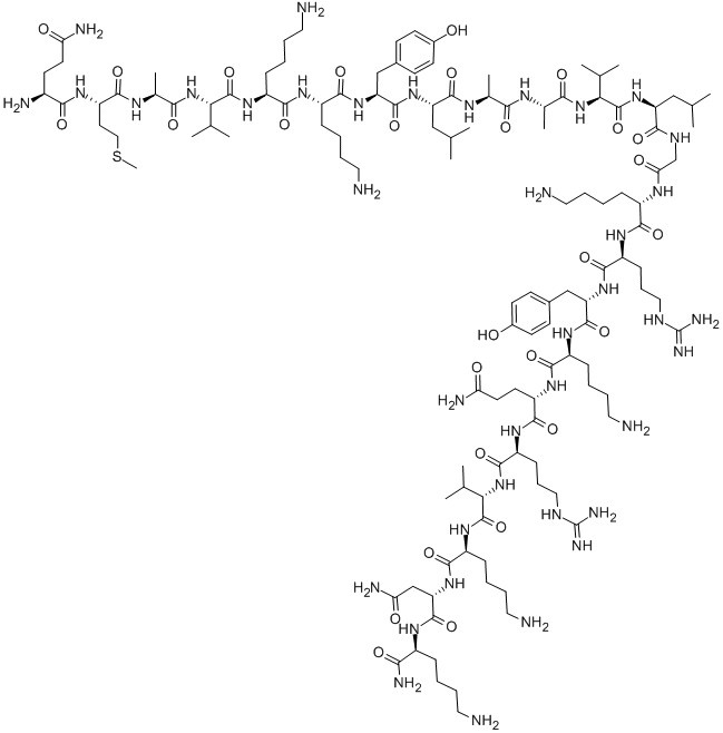
PACAP-38 (16-38) (human, chicken, mouse, ovine, porcine, rat) |
|
中文其他名稱 |
|
|
英文其他名稱 |
PITUITARY ADENYLATE CYCLASE ACTIVATING PEPTIDE-38 (16-38), HUMAN, OVINE, RAT;PITUITARY ADENYLATE CYCLASE ACTIVATING POLYPEPTIDE-38 (16-38) (HUMAN, CHICKEN, MOUSE, OVINE, PORCINE, RAT);PITUITARY ADENYLATE CYCLASE ACTIVATING POLYPEPTIDE (16-38) (HUMAN, OVINE, RAT);PACAP (16-38) (HUMAN, OVINE, RAT);PACAP-38 (16-38) (HUMAN, CHICKEN, MOUSE, OVINE, PORCINE, RAT);PACAP-38 (16-38), HUMAN, OVINE, RAT;H-GLN-MET-ALA-VAL-LYS-LYS-TYR-LEU-ALA-ALA-VAL-LEU-GLY-LYS-ARG-TYR-LYS-GLN-ARG-VAL-LYS-ASN-LYS-NH2;Pituitary Adenylate Cyclase Activating Polypeptide-38 (16-38) (huMan, chicken, Mouse, ovine, porcine, rat) |
|
CAS No. |
144025-82-1 |
|
單字母序列 |
QMAVKKYLAAVLGKRYKQRVKNK-NH2 |
|
三字母序列 |
Gln-Met-Ala-Val-Lys-Lys-Tyr-Leu-Ala-Ala-Val-Leu-Gly-Lys-Arg-Tyr-Lys-Gln-Arg-Val-Lys-Asn-Lys-NH2 | H-Gln-Met-Ala-Val-Lys-Lys-Tyr-Leu-Ala-Ala-Val-Leu-Gly-Lys-Arg-Tyr-Lys-Gln-Arg-Val-Lys-Asn-Lys-NH2 |





南京肽業(yè)生物科技有限公司
地址:
Email: info@njpeptide.com
總機(jī):025-58361106-801
