Pep07901|Exendin-9|133514-43-9
- 詳細(xì)描述
- 資料下載
Pep07901|Exendin-9|133514-43-9
|
貨號(hào) |
Pep07901 |
|
中文名稱 |
Exendin-9 |
|
中文其他名稱 |
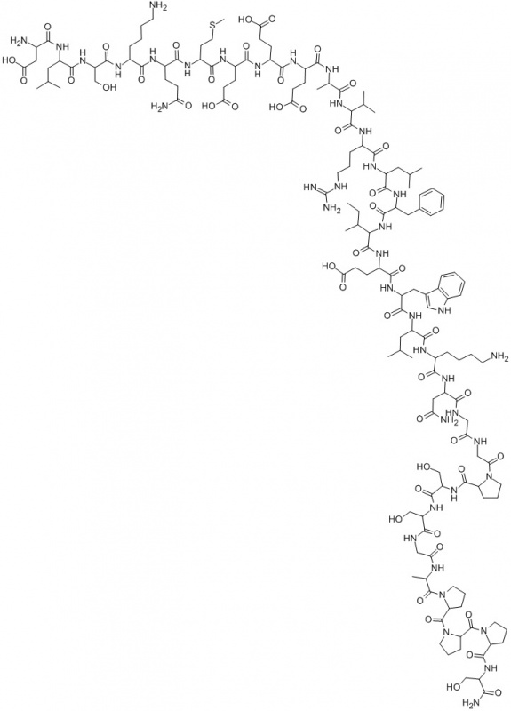
ASP-LEU-SER-LYS-GLN-MET-GLU-GLU-GLU-ALA-VAL-ARG-LEU-PHE-ILE-GLU-TRP-LEU-LYS-ASN-GLY-GLY-PRO-SER-SER-GLY-ALA-PRO-PRO-PRO-SER-NH2; ASP-LEU-SER-LYS-GLN-MET-GLU-GLU-GLU-ALA-VAL-ARG-LEU-PHE-ILE-GLU-TRP-LEU-LYS-ASN-GLY-GLY-PRO-SER-SER-GLY-ALA-PRO-PRO-PRO-SER-NH2: DLSKQMEEEAVRLFIEWLKNGGPSSGAPPPS-NH2; EXENDIN FRAGMENT 9-39; EXENDIN (9-39) |
|
英文名稱 |
Exendin-9 |
|
英文其他名稱 |
ASP-LEU-SER-LYS-GLN-MET-GLU-GLU-GLU-ALA-VAL-ARG-LEU-PHE-ILE-GLU-TRP-LEU-LYS-ASN-GLY-GLY-PRO-SER-SER-GLY-ALA-PRO-PRO-PRO-SER-NH2; H-ASP-LEU-SER-LYS-GLN-MET-GLU-GLU-GLU-ALA-VAL-ARG-LEU-PHE-ILE-GLU-TRP-LEU-LYS-ASN-GLY-GLY-PRO-SER-SER-GLY-ALA-PRO-PRO-PRO-SER-NH2; EXENDIN 3 (9-39); EXENDIN-3 (9-39) AMIDE;EXENDIN (9-39); EXENDIN (9-39) AMIDE; EXENDIN [9-39] PEPTIDE; EXENDIN FRAGMENT 9-39 |
|
CAS No. |
133514-43-9 |
|
單字母序列 |
DLSKQMEEEAVRLFIEWLKNGGPSSGAPPPS-NH2 |
|
三字母序列 |
Asp-Leu-Ser-Lys-Gln-Met-Glu-Glu-Glu-Ala-Val-Arg-Leu-Phe-Ile-Glu-Trp-Leu-Lys-Asn-Gly-Gly-Pro-Ser-Ser-Gly-Ala-Pro-Pro-Pro-Ser-NH2 | H-Asp-Leu-Ser-Lys-Gln-Met-Glu-Glu-Glu-Ala-Val-Arg-Leu-Phe-Ile-Glu-Trp-Leu-Lys-Asn-Gly-Gly-Pro-Ser-Ser-Gly-Ala-Pro-Pro-Pro-Ser-NH2 |





南京肽業(yè)生物科技有限公司
地址:
Email: info@njpeptide.com
總機(jī):025-58361106-801
