Pep03236 | BNP-32 (rat) | 133448-20-1
- 詳細(xì)描述
- 資料下載
|
貨號(hào) |
Pep03236 |
|
名稱 |
BNP-32 (rat) |
|
中文其他名稱 |
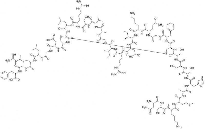
ASN-SER-LYS-MET-ALA-HIS-SER-SER-SER-CYS-PHE-GLY-GLN-LYS-ILE-ASP-ARG-ILE-GLY-ALA-VAL-SER-ARG-LEU-GLY-CYS-ASP-GLY-LEU-ARG-LEU-PHE;ASN-SER-LYS-MET-ALA-HIS-SER-SER-SER-CYS-PHE-GLY-GLN-LYS-ILE-ASP-ARG-ILE-GLY-ALA-VAL-SER-ARG-LEU-GLY-CYS-ASP- GLY-LEU-ARG-LEU-PHE(DISULFIDE BRIDGE:CYS10-CYS26);小鼠腦鈉尿肽(1-32);BNP-32 (鼠);B型利鈉肽;腦利鈉肽 |
|
英文其他名稱 |
H-ASN-SER-LYS-MET-ALA-HIS-SER-SER-SER-CYS-PHE-GLY-GLN-LYS-ILE-ASP-ARG-ILE-GLY-ALA-VAL-SER-ARG-LEU-GLY-CYS-ASP-GLY-LEU-ARG-LEU-PHE-OH;H-ASN-SER-LYS-MET-ALA-HIS-SER-SER-SER-CYS-PHE-GLY-GLN-LYS-ILE-ASP-ARG-ILE-GLY-ALA-VAL-SER-ARG-LEU-GLY-CYS-ASP-GLY-LEU-ARG-LEU-PHE-OH (DISULFIDE BRIDGE: 10-26);H-ASN-SER-LYS-MET-ALA-HIS-SER-SER-SER-CYS-PHE-GLY-GLN-LYS-ILE-ASP-ARG-ILE-GLY-ALA-VAL-SER-ARG-LEU-GLY-CYS-ASP-GLY-LEU-ARG-LEU-PHE-OH, (DISULFIDE BOND);B-TYPE (BRAIN) NATRIURETIC PEPTIDE-32 (RAT);BRAIN NATRIURETIC PEPTIDE-32 (RAT);BRAIN NATRIURETIC PEPTIDE (1-32), RAT;BNP (1-32) RAT;BNP RAT |
|
CAS NO. |
133448-20-1 |
|
單字母序列 |
NSKMAHSSSCFGQKIDRIGAVSRLGCDGLRLF (Disulfidebridge:Cys10-Cys26) |
|
三字母序列 |
Asn-Ser-Lys-Met-Ala-His-Ser-Ser-Ser-Cys-Phe-Gly-Gln-Lys-Ile-Asp-Arg-Ile-Gly-Ala-Val-Ser-Arg-Leu-Gly-Cys-Asp-Gly-Leu-Arg-Leu-Phe(Disulfidebridge:Cys10-Cys26) | H-Asn-Ser-Lys-Met-Ala-His-Ser-Ser-Ser-Cys-Phe-Gly-Gln-Lys-Ile-Asp-Arg-Ile-Gly-Ala-Val-Ser-Arg-Leu-Gly-Cys-Asp-Gly-Leu-Arg-Leu-Phe-OH (Disulfidebridge:Cys10-Cys26) |





南京肽業(yè)生物科技有限公司
地址:
Email: info@njpeptide.com
總機(jī):025-58361106-801
