Pep04352 | PACAP-27 (human, mouse, ovine, porcine, rat) | 127317-03-7
- 詳細(xì)描述
- 資料下載
Pep04352 | PACAP-27 (human, mouse, ovine, porcine, rat) | 127317-03-7
|
貨號(hào) |
Pep04352 |
|
名稱 |
PACAP-27 (human, mouse, ovine, porcine, rat) |
|
中文其他名稱 |
垂體后葉粉;尿崩停;神經(jīng)垂體素 |
|
英文其他名稱 |
PITUITARY ADENYLATE CYCLASE ACTIVATING POLYPEPTIDE 27 AMIDE, OVINE;PITUITARY ADENYLATE CYCLASE ACTIVATING POLYPEPTIDE-27 (HUMAN, MOUSE, OVINE, PORCINE, RAT);PITUITARY ADENYLATE CYCLASE ACTIVATING POLYPEPTIDE;PITUITARY ADENYLATE CYCLASE-ACTIVATING POLYPEPTIDE 1-27;PITUITARY ADENYLATE CYCLASE ACTIVATING POLYPEPTIDE (1-27) AMIDE (HUMAN, OVINE, RAT);PITUARY ADENYLATE CYCLASE ACTIVATING POLYPEPTIDE 27 (HUMAN, 1-27 AMIDE) OVINE, RAT;PITUITARY ADENYLATE CYCLASE-ACTIVATING PEPTIDE (1-27);PITUITARY ADENYLATE CYCLASE ACTIVATING PEPTIDE (1-27), HUMAN, OVINE, RAT |
|
CAS No. |
127317-03-7 |
|
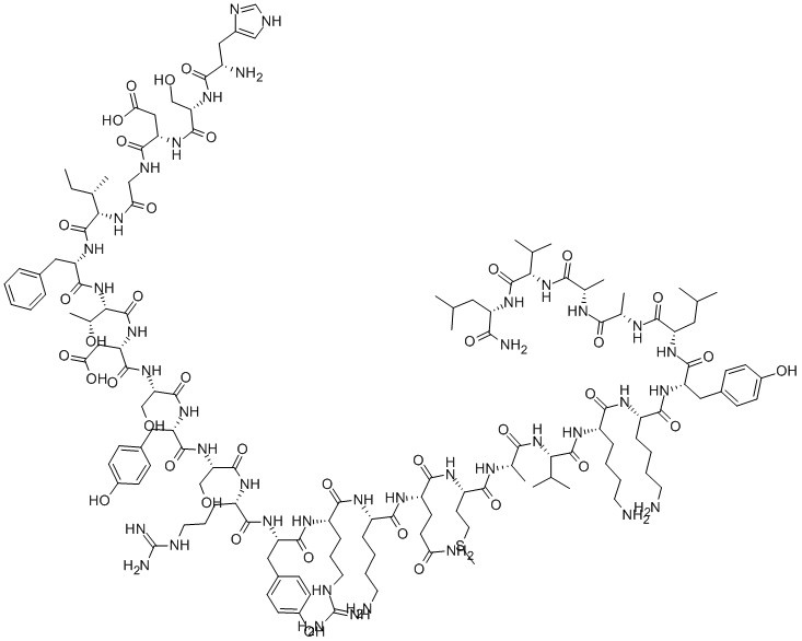
單字母序列 |
HSDGIFTDSYSRYRKQMAVKKYLAAVL-NH2 |
|
三字母序列 |
His-Ser-Asp-Gly-Ile-Phe-Thr-Asp-Ser-Tyr-Ser-Arg-Tyr-Arg-Lys-Gln-Met-Ala-Val-Lys-Lys-Tyr-Leu-Ala-Ala-Val-Leu-NH2 | H-His-Ser-Asp-Gly-Ile-Phe-Thr-Asp-Ser-Tyr-Ser-Arg-Tyr-Arg-Lys-Gln-Met-Ala-Val-Lys-Lys-Tyr-Leu-Ala-Ala-Val-Leu-NH2 |





南京肽業(yè)生物科技有限公司
地址:
Email: info@njpeptide.com
總機(jī):025-58361106-801
