Pep13903 | (D-Arg1,D-Pro2,D-Phe7,D-His9)-Substance P | 115760-58-2
- 詳細(xì)描述
- 資料下載
Pep13903 | (D-Arg1,D-Pro2,D-Phe7,D-His9)-Substance P | 115760-58-2
|
貨號(hào) |
Pep13903 |
|
名稱 |
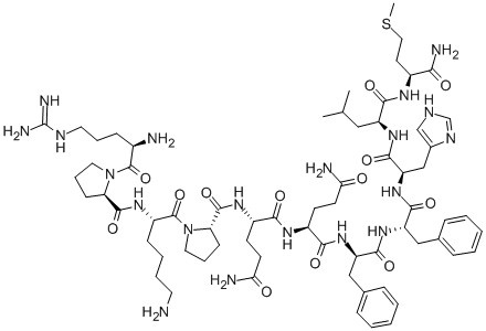
(D-Arg1,D-Pro2,D-Phe7,D-His9)-Substance P |
|
CAS No. |
115760-58-2 |
|
單字母序列 |
D-R-D-PKPQQ-D-FF-D-HLM-NH2 |
|
三字母序列 |
D-Arg-D-Pro-Lys-Pro-Gln-Gln-D-Phe-Phe-D-His-Leu-Met-NH2 | H-D-Arg-D-Pro-Lys-Pro-Gln-Gln-D-Phe-Phe-D-His-Leu-Met-NH2 |





南京肽業(yè)生物科技有限公司
地址:
Email: info@njpeptide.com
總機(jī):025-58361106-801
